Per miglioramento fondiario si intende qualsiasi investimento stabile e duraturo di capitali e lavoro effettuato sul terreno con lo scopo di aumentare il valore.
Vi sono miglioramenti che fanno aumentare il valore del fondo incrementando il Bf (ad esempio, un impianto di irrigazione, una sistemazione idraulico-agraria, ecc.), altri fanno variare il valore del fondo direttamente perché ne aumentano l'appetibilità.
I quesiti estimativi relativi ai miglioramenti fondiari sono:
Il costo di un miglioramento viene valutato considerando i costi diretti e indiretti, al netto degli incrementi di reddito durante il periodo di esecuzione delle opere e degli eventuali contributi pubblici. I costi diretti devono comprendere sia le spese effettivamente erogate sia i compensi presunti per le prestazioni fornite in proprio dal soggetto che compie il miglioramento. I costi indiretti sobo le perdite di reddito durante i lavori, da determinare per confronto con la situazione antecedente (metodo Tassinari: i mancati redditi si ottengono dalla differenza tra il beneficio fondiario attuale (Bfo) e quelli transitori che si ottengono durante il periodo di esecuzione del miglioramento. Il costo totale del miglioramento è riferito in genere alla fine della miglioria, cioè all'anno in cui inizia il beneficio fondiario permanente (Bfp).
Quando le opere richiedono tempi lunghi di esecuzione e vengono realizzate per gradi, può succedere che, a miglioramento non ancora ultimato, già si manifestino gli effetti utili dei lavori eseguiti e il fondo cominci a dare benefici transitori superiori a quello ante-miglioramento. Si avranno in tal caso incrementi di redditi (redditi eventuali) che sono l'esatto opposto dei costi indiretti.
Ktn = Spese dirette + spese indirette - redditi eventuali - contributo pubblico
Se interessa conoscere il costo del miglioramento riferito all'inizio dei lavori, basterà anticipare di n anni il Ktn precedentemente calcolato.
In relazione alle finalità che si pone l'imprenditore che esegue la miglioria, il giudizio di convenienza può determinarsi nei seguenti 3 modi:
Un proprietario imprenditore prima di eseguire la miglioria verifica sempre se conviene o non conviene attuarla con un giudizio preventivo o consuntivo.
Giudizio in termini di reddito
In genere si attua tale giudizio di convenienza quando il proprietario imprenditore continua l'attività di gestione aziendale sul proprio fondo il Bf si ricava dal bilancio aziendale; se il fondo viene dato in affitto, il Bf si calcolerà dal bilancio dell'affitto Bf = Cap - Spp). Un proprietario considererà conveniente il miglioramento quando l'aumento di reddito fondiario (Bf ± T) o di solo beneficio fondiario è maggiore all'interesse annuo sul costo totale dell'opera (Ktn x i):
Bfn - Bfo > Ktn x i
dove:
i = se l'imprenditore ha avuto in prestito il capitale da una banca si dovrà considerare il saggio applicato dalla banca; se il capitale appartiene allo stesso imprenditore si dovrà considerare un saggio ritraibile da investimenti similari e alternativi).
Giudizio in termini di capitale o valore
Il giudizio viene svolto in questi termini quando il miglioramento è attuato dal proprietario che vuole, dopo la miglioria, vendere il fondo. Il miglioramento risulta conveniente quando l'incremento di valore fondiario, conseguibile col miglioramento, è maggiore al costo totale:
Vn - Vo > Ktn
dove:
Vn = valore del fondo dopi il miglioramento
Vo = valore del fondo prima del miglioramento
Ktn = costo totale riferito alla fine del periodo transitorio
Giudizio in termini di saggio o fruttuosità
per fruttuosità si intende il tasso di interesse al quale risulta investito il capitale speso per la miglioria. Il saggio di fruttosità si determina attraverso il rapporto tra l'incremento di reddito (che rappresenta l'interesse prodotto dal capitale investito) e il capitale rappresentato dal costo della miglioria:
f = (Bft - Bfo)/Ktn
f > i
Si ha convenienza quando il saggio di fruttosità (f) è maggiore del saggio di reperimento del capitale o di rendimento di investimenti alternativi.
Giudizio di convenienza sull'esecuzione di un miglioramento compiuto da un affittuario a sue spese
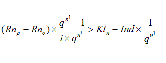
Per i fondi condotti in affitto, i miglioramenti possono essere eseguiti dal proprietario concedente o anche dall'affittuario, quest'ultimo nel rispetto di una particolare procedura di legittimazione (vedere sotto). Se il giudizio di convenienza viene posto da un affittuario, si deve ragionare in termini di reddito, confrontando la somma di tutti gli incrementi di reddito netto di cui fruirà l'affittuario a miglioramento eseguito con il costo totale da questi sostenuto, il tutto riferito all'attualità. Occorre, altresì, tener conto che l'affittuario che abbia eseguito miglioramenti fondiari, nel rispetto delle procedure di legittimazione, ha diritto, alla risoluzione del contratto, a ricevere una speciale indennità. Pertanto, il costo della miglioria dovrà essere ridotto in misura pari all'indennità percepibile:

dove:
Rnp = Reddito netto dell'affittuario dopo il miglioramento
Rno = Reddito netto dell'affittuario prima del miglioramento
n1 = durata residuo del contratto dalla fine dell'esecuzione
Ind = indennità prevista per la fine del contratto
Ktn = costo totale del miglioramento riferito a fine esecuzione
Non sempre la conduzione del fondo avviene direttamente da parte del proprietario da parte del proprietario: esistono, infatti, i contratti di conduzione in forza dei quali la figura del proprietario e quella dell'imprenditore sono separate. Tipico è il caso del contratto di affitto, ma tale situazione si verifica anche nei casi di usufrutto, enfiteusi, mezzadria. Per tali forme di conduzione è previsto che il conduttore possa, se ricorrono le condizioni di legge, eseguire miglioramenti sul fondo altrui e che, in tale ipotesi, abbia diritto a ricevere un'indennità da parte del proprietario. La determinazione di tale indennità è disposta da norme di legge, in maniera diversa pe i differenti casi. Ci occuperemo solo dell'affitto e dell'usufrutto.
Norme riguardanti l'affitto
La materia è disciplinata dalla legge 203 del 1982, in base alla quale ciascuna delle parti, cioè locatore e affittuario, può eseguire miglioramenti nel fondo, al fine di unba migliore utilizzazione agricola dello stesso e rispondenti ai programmi regionali di sviluppo o alle tendenze di sviluppo delle zone in cui essi ricadono.
La parte che intende effettuare i miglioramenti deve darne preventiva comunicazione ai servizi per l'agricoltura dell'amministrazione provinciale e all'altra parte, inviando il progetto delle opere da realizzare. In caso di parere favorevole dell'amministrazione provinciale, se il locatore non intende eseguire il miglioramento, l'affittuario può senz'altro procedere alla sua esecuzione. In tal caso, l'affittuario ha diritto a ricevere, al rilascio del fondo, un'indennità commisurata all'aumento di valore conseguito dal fondo e sussistente alla fine dell'affitto. Tale aumento si determina attraverso la differenza tra il probabile valore di mercato del fondo migliorato, al momento della stima, e il probabile valore dello stesso considerato senza il miglioramento, sempre riferito al momento della stima.
Norme relative all'usufrutto
L'articolo 985 del Codice Civile dispone: l'usufruttuario ha diritto a un'indennità per i miglioramenti che sussistono al momento della restituzione della cosa. L'indennità si deve corrispondere nella minore somma tra l'importo della spesa e l'aumento di valore conseguito dalla cosa per effetto dei miglioramenti. La stima dell'indennità richiederà quindi due valutazioni: una per lo speso e una per l'incremento di valore (o "migliorato"), per individuare in tal modo l'importo inferiore.
Se un fondo si presenta suscettibile di ordinario miglioramento, la sua stima deve essere fatta a valore di trasformazione (o valore potenziale). Se è necessario un tempo di n anni per concludere l'esecuzione delle opere, si dovranno considerare i muniri redditi goduti, rispetto a quello potenziale, nel periodo di esecuzione delle opere:

dove:
Bfp = Beneficio fondiario dopo la miglioria
Bfo = Beneficio fondiario prima della miglioria
Kto =
costo totale riferito all'istante 0
Miglioramenti fondiari